115年:藥學一(第1次)
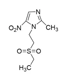
抗原蟲藥(結構如下圖),其名稱為: 
Ametronidazole
Btinidazole
Cnitazoxanide
Ddiloxanide furoate
詳細解析
本題觀念:
本題考查抗原蟲藥物(Antiprotozoal Agents)的化學結構辨識,特別是 Nitroimidazole(硝基咪唑)類藥物的結構差異。這類藥物是治療厭氧菌及原蟲感染(如陰道滴蟲、賈第鞭毛蟲、阿米巴痢疾)的主力藥物。考生需具備從官能基(Functional Group)區分同類藥物的能力。
影像分析:
提供的圖片顯示一個化學結構式,我們可以觀察到以下特徵:
- 母核結構:包含一個五元雜環,環上有兩個氮原子(1,3-位置),且具有雙鍵,確認為 Imidazole(咪唑) 環。
- 硝基取代基:在環的 5 號位置上有一個硝基(,圖中寫為 )。
- 2位取代基:在兩個氮原子之間的碳(C2)上有一個甲基()。
- N1 側鏈(關鍵特徵):在 1 號氮原子上連接了一條側鏈。側鏈結構為乙基連接一個 Sulfonyl(磺醯基,),末端再連接一個乙基。具體路徑為:(Ethylsulfonylethyl group)。
- 註:圖片中的 基團非常明顯( 雙鍵連接兩個 ),這是區分此藥物與其他 Nitroimidazole 類藥物的最大特徵。
選項分析:
-
(A) Metronidazole:錯誤。
- 結構特徵:Metronidazole 的 N1 側鏈是 Hydroxyethyl(),末端是羥基(醇),不含硫(Sulfur)。
- 區別點:題目圖片中有明顯的磺醯基(),故排除。
-
(B) Tinidazole:正確。
- 結構特徵:Tinidazole 的化學名為 1-[2-(ethylsulfonyl)ethyl]-2-methyl-5-nitroimidazole。其 N1 側鏈正是 Ethylsulfonylethyl()。
- 吻合度:圖片中的結構完全符合 Tinidazole 的特徵(含 基團及延長的碳鏈)。
-
(C) Nitazoxanide:錯誤。
- 結構特徵:屬於 Thiazolide 類藥物。結構包含一個 Thiazole(噻唑)環和一個苯環,通過 Amide(醯胺)鍵連接,並不具備 Nitroimidazole 母核。
- 區別點:骨架完全不同,圖片明顯是咪唑環而非噻唑-醯胺結構。
-
(D) Diloxanide furoate:錯誤。
- 結構特徵:屬於 Dichloroacetamide 衍生物。結構包含苯環、Furan(呋喃)環(來自 Furoate 酯)和二氯乙醯胺基團。
- 區別點:結構中無硝基咪唑環,且含有苯環,與題目圖片不符。
答案解析:
題目顯示的結構為 1-[2-(ethylsulfonyl)ethyl]-2-methyl-5-nitroimidazole。 在所有選項中,只有 (B) Tinidazole 擁有 Sulfonyl(磺醯基) 側鏈。 (A) Metronidazole 為醇基側鏈;(C) 與 (D) 為非 Nitroimidazole 類藥物,骨架差異巨大。 因此,正確答案為 (B) Tinidazole。
核心知識點:
- Nitroimidazole 類藥物結構記憶法:
- 共同核心:2-methyl-5-nitroimidazole(2-甲基-5-硝基咪唑)。
- Metronidazole:側鏈為 (Metronidazole has a Mono-alcohol like group, easy to remember as the "standard" alcohol).
- Tinidazole:側鏈含 Sulfonyl () (Tinidazole has a Two-oxygen Sulfur group? Or just remember Sulfur/Sulfone).
- Secnidazole:側鏈為 (含有一個手性中心的二級醇)。
- 藥理與代謝差異:
- Tinidazole 的半衰期( 小時)較 Metronidazole( 小時)長,因此臨床上通常可以每日給藥一次(QD),而 Metronidazole 常需每日多次給藥(TID 或 QID)。
- 兩者皆為 Prodrug,需在厭氧生物體內經由 Ferredoxin 還原硝基()產生自由基來破壞 DNA。
參考資料
- Foye's Principles of Medicinal Chemistry, Antiprotozoal Agents.
- PubChem Compound Summary for CID 5479: Tinidazole.
- DrugBank Online: Tinidazole (DB00911).