113年:藥學一(第2次)
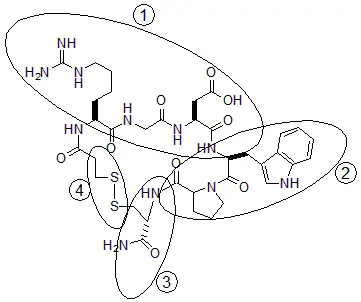
Eptifibatide(如下圖結構)的那個部分,可與fibrinogen競爭結合GPIIb/IIIa受體? 
A①
B②
C③
D④
詳細解析
本題觀念:
本題考查的是 GPIIb/IIIa 接受體拮抗劑 (Glycoprotein IIb/IIIa receptor antagonists) 的藥物化學結構與藥理機轉。
- 生理機轉:血小板膜上的 GPIIb/IIIa 接受體(integrin )是血小板凝集的最終共同路徑。當血小板活化時,此接受體會改變構型,與 Fibrinogen (纖維蛋白原) 結合。
- 關鍵序列:Fibrinogen 與 GPIIb/IIIa 的結合主要依賴其結構中的 RGD (Arg-Gly-Asp) 序列。
- 藥物設計:Eptifibatide 是一種環狀胜肽,模仿 RGD 序列,與 Fibrinogen 競爭結合位點,從而抑制血小板凝集。
影像分析:
題目提供的圖片是 Eptifibatide 的化學結構,其中被圈選了四個部分:
- 圈選 ①:包含了 Homoarginine (Har) 的側鏈(帶有 Guanidine 基團)、Glycine (Gly) 的骨架、以及 Aspartic acid (Asp) 的側鏈(帶有 Carboxyl 基團)。此結構序列為 Har-Gly-Asp。
- 圈選 ②:包含了 **
...(解析預覽)...
![藥師[1] - 抗高血壓、抗凝血與心臟藥物化學 - AI 圖文解析預覽](/_next/image?url=https%3A%2F%2Fbgvxfcrmbdvefjhuvrmt.supabase.co%2Fstorage%2Fv1%2Fobject%2Fpublic%2Fvisual-explanations%2F369%2F24175_tdb3cdd95.webp&w=3840&q=75)
升級 VIP 解鎖圖文解析