115年:放射治療(1)
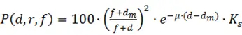
臨床放射治療 PDD在深度d處,可表示為如圖,其中f為SSD,r為照野大小,dm為最大劑量深度,則下列何者正確? 
Aμ為能量吸收係數
Bμ為能量轉移係數
CKs為散射劑量的變化函數
DKs為吸收劑量的變化函數
詳細解析
影像分析:
題目提供了一張放射治療中計算百分深度劑量(Percentage Depth Dose, PDD)的半經驗數學公式圖: 公式中的各項變數與物理意義如下:
- :在深度 、照野大小 、源皮距(SSD)為 時的百分深度劑量。
- :將比值轉換為百分比(%)。
- :距離平方反比因子(Inverse square law factor),用以修正因射束發散而隨距離增加所造成的劑量衰減。
- :主射束(Primary beam)的指數衰減因子。描述光子射束穿透介質時,因吸收與散射導致主射束強度的減少。
- :散射修正因子,代表在介質中不同深度與照野大小下,散射輻射對中心軸劑量貢獻的變化。
本題觀念:
本題考查放射物理學中 PDD 的組成要素與物理意義。PDD 的曲線分布無法單純用單一物理現象解釋,必須綜合考量「距離平方反比定律」、「主射束在介質中的衰減」,以及「假體內部產生的散射劑量貢獻」。理解公式中每一個符號所代表的物理參數,是放射治療劑量計算的基礎。
選項分析
- (A) 為能量吸收係數:錯誤。公式中的 代表的是「有效直線衰減係數」(Effective linear attenuation coefficient),用來描述主射束在穿透組織時整體通量減少的程度,而非單指能量吸收係數(Energy absorption coefficient, )。
- (B) 為能量轉移係數:錯誤。如同前述, 是有效直線衰減係數,並不是能量轉移係數(Energy transfer coefficient, )。 描述的是光子將能量轉移給二次電子的比例,與此處計算主射束衰減的參數不同。
- (C) 為散射劑量的變化函數:正確。由於深度的劑量不僅來自穿透的主射束,還包含了周圍組織產生的散射輻射(Scattered radiation)。照野越大或深度越深,散射的貢獻比例會發生改變, 即是用來修正此「散射劑量變化」的函數。
- (D) 為吸收劑量的變化函數:錯誤。吸收劑量(Absorbed dose)是主射束與散射劑量貢獻的總和, 在公式中被獨立出來,專門用來處理「散射」部分的劑量變化,而非總吸收劑量。
答案解析
在放射物理學中,PDD 的數學模型精準地拆解了影響深部劑量的三大物理機制:
- 距離平方反比定律:,呈現隨距離增加的發散衰減。
- 主射束穿透衰減:,其中 明確定義為射束在該介質中的「有效直線衰減係數」。
- 散射劑量貢獻:,因為照野內的作用體積會產生散射光子並貢獻至中心軸,且此散射量會隨著深度()與照野大小()改變,因此 為「散射劑量的變化函數」。
綜合上述,選項 (C) 正確描述了 在此半經驗公式中的物理意義。
核心知識點
醫事放射師在準備國考時,須熟記影響 PDD 的四大參數及其物理機制:
- 射束能量(Energy):能量越高,穿透力越強( 越小),PDD 越高。
- 深度(Depth, ):深度越深(越過最大劑量深度 後),衰減越多,PDD 越低。
- 照野大小(Field size, ):照野越大,產生的散射體積越大,散射貢獻()增加,PDD 越高。
- 源皮距(SSD, ):SSD 越長,因距離平方反比效應在深部造成的變化率減弱,PDD 越高(此即為 Mayneord F factor 的應用原理)。