113年:核醫診療(2)
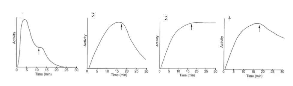
下圖為施打利尿劑腎臟造影之腎圖,箭頭處為給與利尿劑的時間點,若泌尿道確定有阻塞狀況,則腎圖結果為其中何者? 
A1
B2
C3
D4
詳細解析
影像分析:
本題提供了四張利尿劑腎臟造影(Diuretic renography)的時間-活度曲線圖(Time-activity curve),X軸為時間(分鐘),Y軸為放射性活度,箭頭處代表靜脈注射利尿劑(如 Furosemide/Lasix)的時間點。
- 圖 1:放射性藥物進入腎臟後迅速達到高峰,隨後在未給予利尿劑前即自然且迅速地下降。箭頭處雖標示給予利尿劑,但主要的排泄(Washout)已在之前發生。此為**正常(Normal)**的腎圖表現。
- 圖 2:放射性活度緩慢上升並在較高點維持,顯示藥物滯留於腎盂中。但在箭頭處給予利尿劑後,曲線隨即呈現快速且陡峭的下降。此代表泌尿道空間較大導致藥物滯留,但給予強迫利尿後可順利排出,屬於擴張但無阻塞(Dilated, non-obstructed)。
- 圖 3:放射性活度持續上升並維持在高位。在箭頭處給予利尿劑後,曲線完全沒有下降的趨勢,依然持平或持續上升。這表示即使尿液量增加,放射性藥物仍受阻無法排出,為典型的**明確阻塞(Obstructed)**圖形。
- 圖 4:放射性活度在給予利尿劑後,曲線雖有下降趨勢,但下降的速率相當緩慢。此為**部分阻塞(Partial obstruction)或模稜兩可(Equivocal)**的表現。
本題觀念:
利尿劑腎臟造影
...(解析預覽)...

升級 VIP 解鎖圖文解析