112年:放射治療(2)
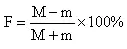
直線加速器品質保證作業中,在參考深度處, 80% 照野面積所測得的最大劑量為 M 、最小劑量為 m ,則下列何者為照野平坦性的定義?
A圖 

B圖 

C圖 

D圖 

詳細解析
本題觀念:
本題測驗的是醫用直線加速器(Linear Accelerator, Linac)在品質保證(Quality Assurance, QA)作業中,關於「照野平坦性(Beam Flatness)」之物理定義與計算公式。在放射治療中,確保輻射劑量在治療照野內的均勻分布非常重要,這通常透過量測照野的平坦性與對稱性(Symmetry)來進行評估。
影像分析:
本題提供四個選項的圖片,皆為數學公式,其中 代表在參考深度處,中央 80% 照野寬度內量測到的最大劑量(相當於 ), 代表最小劑量(相當於 )。
- 選項 A 圖片:公式為 。
- 選項 B 圖片:公式為 。
- 選項 C 圖片:公式為 。
- 選項 D 圖片:公式為 。
選項分析
- 選項 A:此為標準的照野平坦性定義。根據美國醫學物理學會(AAPM)與國際電工委員會(IEC)的規範,平坦
...(解析預覽)...

升級 VIP 解鎖圖文解析