112年:核醫診療(2)
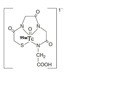
下圖為何種⁹⁹ᵐTc標幟之核醫藥物? 
A⁹⁹ᵐTc-ECD
B⁹⁹ᵐTc-MDP
C⁹⁹ᵐTc-MAG3
D⁹⁹ᵐTc-HMPAO
詳細解析
本題觀念:
本題測驗核醫學中鎝-99m (99mTc) 放射性藥物的化學結構與配位基 (ligand) 特性。不同的配位基會決定藥物的電荷、脂溶性及體內分佈,進而決定其臨床適應症。醫事放射師必須具備辨識常見核醫藥物化學結構特徵(如配位原子種類及數量)的能力。
影像分析:
觀察題目提供的化學結構圖片,可辨識出以下重要特徵:
- 中心金屬與核心結構:中心為 99mTc 金屬原子,並與一個氧原子形成雙鍵,構成 Tc=O (technetium-oxo) 核心。
- 配位基 (Ligand) 特徵:與中心 99mTc 配位結合的原子包含一個硫原子 (S) 與三個氮原子 (N)(來自醯胺基),這屬於典型的 N3S 四牙配位基 (tetradentate ligand)。
- 周邊化學結構:由配位基骨架可看出其包含一個硫醇基 (mercapto)、一個乙醯基 (acetyl) 以及三個甘胺酸 (glycine) 組成的胜肽鏈,且最末端帶有一個游離的羧基 (-COOH)。
- 整體電荷:圖片外圍的括號右上方標示了
1-,代表這是一個帶負一價電荷的陰離子 (anionic) 錯合物。 綜合上述特徵,「硫醇基 + 乙醯基 + 三個甘胺酸」的組合,正是 Mercaptoacetyltriglycine (MAG3) 的標準結
...(解析預覽)...

升級 VIP 解鎖圖文解析