113年:配鏡學
下列硬式散光隱形眼鏡鏡片處方,其鏡片後光學直徑(BOZD)為何? 
A6.70 mm
B6.40 mm
C7.10 mm
D7.80 mm
詳細解析
本題觀念:
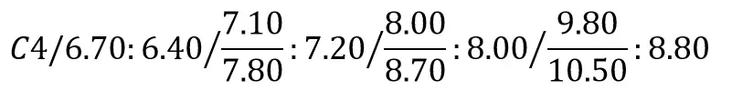
本題考「硬式散光隱形眼鏡(rigid gas permeable toric contact lens, RGP toric lens)」的鏡片處方判讀,重點在於認識英國標準(British Standard, BS)多弧度符號標記法中各參數的位置與意義,尤其是後光學直徑(back optic zone diameter, BOZD)的讀取方式。
影像分析:
圖片中顯示一組 RGP 硬式隱形眼鏡處方的 BS 標準符號標記,完整內容如下:
各欄位解讀如下:
- C4:此鏡片為 4 弧度(4-curve)設計,代表後表面共有 4 個同心弧度帶
- 6.70:後光學區弧度半徑(back optic zone radius, BOZR)= 6.70 mm
- 6.40(分子,即第一個斜線後的數字):後光學直徑(BOZD)= 6.40 mm ← 本題答案
- 7.10(分母):散光鏡片中另一主徑線的 BOZR(toric back surface 的第二主徑線弧度半徑)= 7.10 mm
- 後續數組(7.20/8.00:8.00/8.70:8.00/9
...(解析預覽)...

升級 VIP 解鎖圖文解析