108年:配鏡學(2)
有一雙光鏡片,遠用度數為 +5.00 D,ADD = +2.50 D ,若 PD =70 mm ,近用工作距離為 30 cm,眼睛的旋轉中心至鏡片後方的距離為 25 mm,這副眼鏡在製作時左右兩鏡片精確的內偏距應各為多少?Ellerbrock 氏方程式: 
A1.50 mm
B2.33 mm
C3.04 mm
D4.02 mm
詳細解析
本題觀念:
本題考查雙光鏡片(bifocal lens)近用子片的精確內偏距(inset)計算,使用 Ellerbrock 氏方程式。與簡單的近用瞳距幾何法不同,Ellerbrock 公式額外考慮了鏡片屈光力對眼睛旋轉中心至鏡片距離的影響,適用於遠用度數較高或近用工作距離較短的情境。
影像分析:
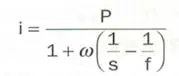
圖片顯示 Ellerbrock 氏方程式(Ellerbrock's formula):
各變數定義:
- :每眼鏡片所需的精確內偏距(inset,單位 mm)
- :幾何法推算的基礎內偏距(不考慮鏡片屈光力的初步內偏距,單位 mm)
- :眼睛旋轉中心(center of rotation)至鏡片後表面的距離(單位 mm),本題為 25 mm
- :近用工作距離(near working distance,從鏡片後表面量起,單位 mm),本題為 300 mm
- :近用鏡片的後焦距(back focal length),(mm), = 遠用度數 + ADD
選項分析
本題各選項為數值計算結果,以下按步驟詳細
...(解析預覽)...

升級 VIP 解鎖圖文解析