109年:醫物幅安(2)
曝露率常數( exposure rate constant )為(如圖),則 60 Co 的曝露率常數為下列何者? 
A圖 

B圖 

C圖 

D圖 

詳細解析
本題觀念:
曝露率常數(exposure rate constant, Γ)是放射物理學中描述點狀放射性核種在特定距離產生照射量率(exposure rate)能力的重要參數。本題考核利用公式計算 Co 的曝露率常數。
影像分析:
題目圖(content image):顯示曝露率常數的計算公式:
其中:
- :曝露率常數,單位為
- :第 種能量的光子產率(photon yield per disintegration),即每次衰變放出的該能量光子數目
- :第 種光子的能量,單位為 MeV
- 係數 0.53 為換算常數(針對空氣中的質能吸收係數整合後的近似值)
選項分析
選項圖像說明:
(A) 選項圖片顯示:
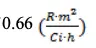
(B) 選項圖片顯示:$1.17 \left(\frac{R \cdot m^2}{Ci \cd
...(解析預覽)...

升級 VIP 解鎖圖文解析