107年:藥學三(第2次)
已知某一室模式藥品單次投與後,得到下列血中濃度—時間關係圖,下列敘述何者正確? 
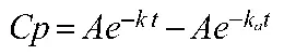
A本藥品為快速靜脈注射給藥,可能之公式為: 圖 

B本藥品最可能之劑型為溶液劑,代表公式為: 圖 

C本藥品可能具延遲吸收現象的口服給藥,代表公式為: 圖 

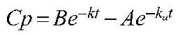
D圖形顯示本藥品之 k及ka有翻筋斗( flip-flop )現象,代表公式為: 圖 

詳細解析
本題觀念:
本題考查一室模式(one-compartment model)藥品口服給藥後血中濃度—時間曲線的判讀,以及各種給藥途徑或吸收特性所對應的藥動學公式。核心在於從半對數圖(semi-log plot)的曲線形態,正確辨認給藥途徑(靜脈注射 vs. 口服)及是否存在延遲吸收(delayed absorption / lag time)現象,並與對應公式配對。
影像分析:
題目圖(血中濃度—時間關係圖):
此半對數圖(Y 軸為對數刻度,單位 μg/mL;X 軸為時間,單位 h)顯示:
- 起始:t=0 時濃度極低或接近零,曲線從 X 軸附近緩慢上升
- 峰值():約在 t = 4–5 h 達到峰值()
- 下降相:峰值後呈現線性對數下降(log-linear decline),延伸至 t = 35 h 以上
- 形態特徵:曲線呈現典型的口服吸收(extravascular/oral administration)雙指數曲線——先上升後下降,且 t=0 時無初始高峰(排除靜脈注射)
- 重要觀察:上升段起始有一段較平緩的延遲期(t = 0 附近),提示可能具**延遲吸收(delayed absorption)或la
...(解析預覽)...
![藥師[1] - 口服單次給藥藥動學 - AI 圖文解析預覽](/_next/image?url=https%3A%2F%2Fbgvxfcrmbdvefjhuvrmt.supabase.co%2Fstorage%2Fv1%2Fobject%2Fpublic%2Fvisual-explanations%2F855%2F55826_t283t5t1v.webp&w=3840&q=75)
升級 VIP 解鎖圖文解析