108年:醫物幅安(2)
關於物質對 α粒⼦的阻擋本領( stopping power ),下列那些正確?(r=radiative, c =collisional )

A①⑤
B①③
C②④
D②⑤
詳細解析
本題觀念:
帶電粒子在物質中的阻擋本領(stopping power)可分為兩大成分:碰撞阻擋本領(collisional stopping power)與輻射阻擋本領(radiative stopping power)。本題以質量阻擋本領(mass stopping power)表示,單位通常為 MeV·cm²/g。對於 α 粒子此類重帶電粒子,兩種成分的相對大小與粒子質量及能量密切相關。
影像分析:
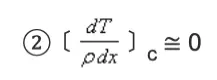
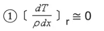
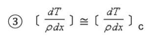
題目提供五個公式圖片,各圖符號定義如下(其中 T 為粒子動能,ρ 為介質密度,x 為路徑長,r = radiative,c = collisional):
-
圖①: → 輻射質量阻擋本領約等於零
-
圖②: → 碰撞質量阻擋本領約等於零
-
圖③: → 輻射阻擋本領 ≅ 碰撞阻擋本領(兩者相當),即 total ≅ collisional(因 r≅0 故 total ≅ c)
-
**圖
...(解析預覽)...

升級 VIP 解鎖圖文解析