107年:放射治療(2)
下列用來計算散射劑量之參數,何者正確?( Sp為假體散射因子)
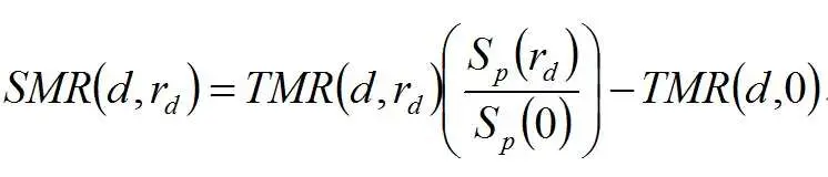
A散射最大比: 圖 

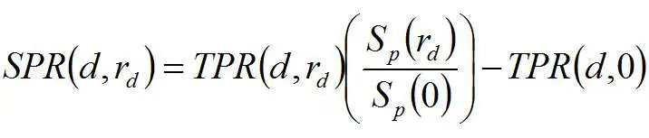
B散射假體比:圖 

C散射空氣比:圖 

D散射最大比在最大劑量深度時: 圖 

詳細解析
本題觀念:
本題考查放射治療物理劑量計算中,散射劑量計算參數的正確公式。題目中 為假體散射因子(phantom scatter factor), 為深度, 為該深度的照野半徑。各散射比(scatter ratio)是用來計算照射野中散射劑量貢獻的重要工具,不同能量的光子束對應不同的散射比公式。
影像分析:
四個選項均以數學公式圖片呈現,各選項公式如下:
-
(A) 選項圖: — 此為**散射最大比(scatter maximum ratio, SMR)**的公式,使用 TMR(組織最大比)。
-
(B) 選項圖: — 此為**散射假體比(scatter phantom ratio, SPR)**的公式,使用 TPR(組織假體比)。
-
(C) 選項圖: — 此為**散射空氣比(scatter air ratio,
...(解析預覽)...

升級 VIP 解鎖圖文解析