105年:藥學二(第1次)
下列中藥何者含 xanthiazone 成分? 
A蒼耳子
B胖大海
C栝樓
D枸杞
詳細解析
本題觀念:
本題考中藥蒼耳子(Xanthii Fructus)的特徵化學成分 xanthiazone,屬於藥師國考中藥鑑定學與生藥學範疇。xanthiazone 是從蒼耳子中分離出的含硫雜環化合物(thiazinedione 類),具有獨特的苯並[1,4]噻嗪二酮骨架,為蒼耳子的標誌性成分之一。
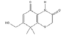
影像分析:
題目圖片顯示 xanthiazone 的化學結構式,為一個苯並[1,4]噻嗪-3,5-二酮(benzo[1,4]thiazine-3,5-dione)骨架。結構特徵如下:
- 左側苯環上有一個 羥甲基(–CH₂OH) 取代基(連接在 7 位)
- 苯環與噻嗪環稠合,噻嗪環含有 硫(S) 和 氮(NH) 原子
- 結構中有兩個酮基(C=O),分別位於 3 位和 5 位
- 8 位碳上有 兩個甲基(gem-dimethyl,8,8-dimethyl) 取代
- 分子式:
此含硫雜環結構為蒼耳子(Xanthium strumarium)果實所特有,是鑑別蒼耳子的重要化學指標之一。
選項分析
(A) 蒼耳子:蒼耳子為菊科植物蒼耳(Xanthium strumarium L.)的成熟帶總苞果實。主要特徵成分包括 xanthia
...(解析預覽)...
![藥師[1] - 萜類 - AI 圖文解析預覽](/_next/image?url=https%3A%2F%2Fbgvxfcrmbdvefjhuvrmt.supabase.co%2Fstorage%2Fv1%2Fobject%2Fpublic%2Fvisual-explanations%2F1013%2F66936_t3y3n215v.webp&w=3840&q=75)
升級 VIP 解鎖圖文解析