109年:醫學四(1)
下列家族譜系最有可能為何種遺傳模式?
AMitochondrial inheritance
BAutosomal recessive inheritance
CX-linked recessive inheritance
DAutosomal dominant inheritance
詳細解析
本題觀念:
本題核心在判讀家譜中的遺傳模式,特別是如何從家系中「誰傳給誰」來分辨常染色體顯性、常染色體隱性、X 連鎖顯性/隱性,以及粒線體(mitochondrial)遺傳的特徵。
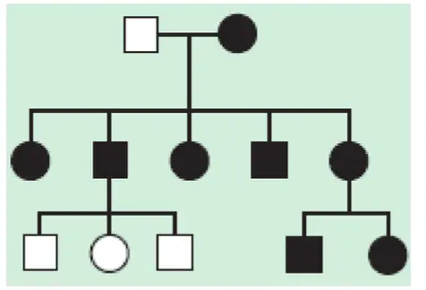
影像分析:
從提供的家譜圖觀察:
- 第一世代:父親為空心方形(未受影響),母親為實心圓形(受影響)。
- 第二世代:該對夫妻的五名子女(包含男性方形與女性圓形)全部呈現實心(皆受影響)。
- 第三世代:
- 第二世代中第一個實心方形(受影響男性)與配偶所生三名子女,皆為空心(均不受影響)。
- 第二世代中最右側實心圓形(受影響女性)與配偶所生兩名子女,皆為實心(均受影響)。
臨床意義:受影響的母親「其所有子女均受影響」,而受影響的父親「其所有子女均不受影響」。此種「父→子、父→女均不傳遺,母→子、母→女則全部傳遺」的模式,極具粒線體遺傳特徵。
選項分析
- 選項A Mitochondrial inheritance
粒線體DNA僅來自母系,若母親帶有突變,其所有子代均會攜帶並可能表現該病;反之,父親即便受影響,也不會將粒線體DNA傳給下一代。符合本家譜中第二世代母親→所有子女皆受影響,第二世代父親→所有子女皆不受影響的模式([migrc.org](https://migrc.org/teaching-tools/genetic-inheri
...(解析預覽)...
![醫師[2] - 遺傳疾病 - AI 圖文解析預覽](/_next/image?url=https%3A%2F%2Fbgvxfcrmbdvefjhuvrmt.supabase.co%2Fstorage%2Fv1%2Fobject%2Fpublic%2Fvisual-explanations%2F216%2F16584_t6b651b4c.webp&w=3840&q=75)
升級 VIP 解鎖圖文解析