113年:藥學二(第1次)
在下列Van Deemter equation中,何種參數與靜相特性關係最大? 
AA
BB
CCm
DCs
詳細解析
本題觀念:
本題考查的是層析理論中的 Van Deemter Equation (凡第姆特方程式) 及其各項參數的物理意義。該方程式用於描述層析管柱中造成譜帶變寬(Band Broadening)的因素,進而影響管柱效率(以理論板高 HETP 表示)。
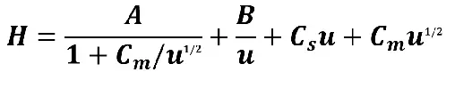
標準的 Van Deemter equation 形式為: 但在液相層析(HPLC)或更深入的理論(如 Giddings 或 Knox equation)中,方程式會更複雜,將傳質項 () 拆解為「移動相傳質 ()」與「靜相傳質 ()」的貢獻,並可能包含 A 項與 項的耦合(Coupling)。
影像分析:
題目附圖中的方程式為一修正型的速率方程式(與 Giddings coupling equation 類似),具體形式如下:
從數學式中可以觀察到四個主要參數:
- 第一項 :這是渦流擴散(Eddy diffusion, A)與移動相傳質的耦合項。
- 第二項 :這是縱向擴
...(解析預覽)...
![藥師[1] - 層析理論基礎 - AI 圖文解析預覽](/_next/image?url=https%3A%2F%2Fbgvxfcrmbdvefjhuvrmt.supabase.co%2Fstorage%2Fv1%2Fobject%2Fpublic%2Fvisual-explanations%2F373%2F24468_t2c17eb4c.webp&w=3840&q=75)
升級 VIP 解鎖圖文解析