112年:藥學一(第2次)
下列何者是廣效型抗病毒藥, 對 DNA 與 RNA 病毒均有效?
A

B

C

D

詳細解析
本題觀念:
本題考查抗病毒藥物的化學結構識別以及其抗病毒抗菌譜(Spectrum)。考生需具備從化學結構辨識藥物名稱的能力,並了解各該藥物的主要臨床用途及對抗病毒的種類(DNA 或 RNA 病毒)。
影像分析:
- 選項 A (Ribavirin):
- 結構特徵:含有一五碳醣(Ribose)與一個 1,2,4-triazole-3-carboxamide 環。這是一個典型的鳥嘌呤核苷(Guanosine)類似物,但鹼基部分被 Triazole 取代。
- 藥物名稱:Ribavirin。
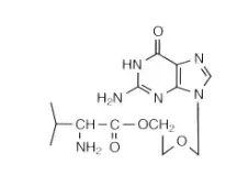
- 選項 B (Adefovir dipivoxil):
- 結構特徵:含有腺嘌呤(Adenine)鹼基,連接一個無環側鏈(acyclic chain)。側鏈上含有一個磷酸酯基團(Phosphonate),且磷酸基團上接有兩個 Pivaloyloxymethyl(POM)酯基前驅結構,用以增加口服吸收。
- 藥物名稱:Adefovir dipivoxil。
- 選項 C (Cidofovir):
- 結構特徵:含有胞嘧啶(Cytosine)鹼基,連接一個無環側鏈,且直接帶有一個磷酸基團(Phosphonate gr
...(解析預覽)...
![藥師[1] - 抗感染化學治療藥物化學 - AI 圖文解析預覽](/_next/image?url=https%3A%2F%2Fbgvxfcrmbdvefjhuvrmt.supabase.co%2Fstorage%2Fv1%2Fobject%2Fpublic%2Fvisual-explanations%2F375%2F24714_tba706e6a.webp&w=3840&q=75)
升級 VIP 解鎖圖文解析