105年:藥學三(第1次)
根據分室理論( compartment models )某藥靜脈快速注射投與病人後之血漿中濃度可用下列公式估算: CP(mg/mL )= 70e⁻¹·⁵ᵗ + 20e⁻⁰·²ᵗ + 24e⁻⁰·⁰³ᵗ (時間單位為小時)。下面敘述何者與此情況相符?①本藥之體內藥物動態半衰期為 3.5 小時②本藥之模室圖形為:③本藥之中央室微分方程式為:

A僅①
B僅②
C①②
D②③
詳細解析
本題觀念:
本題考查三室模型(three-compartment model)的藥物動力學分析。題目給定靜脈快速注射後的血漿濃度公式:
此為三指數(triexponential)方程式,代表三室開放模型(three-compartment open model)。三個指數項對應三個相:分布相(α 相,速率常數 1.5 h⁻¹)、第二分布相(β 相,速率常數 0.2 h⁻¹)、終末消除相(γ 相,速率常數 0.03 h⁻¹)。
影像分析:
圖片①(模室圖):顯示三室模型結構圖,包含:
- 中央室(Central compartment):Vp、Cp、Dp,具向外的消除速率常數 k
- 組織室(Tissue compartment):Vt、Ct、Dt,與中央室之間有 k₁₂ 和 k₂₁ 雙向交換
- 深部組織室(Deep tissue compartment):Vdt、Cdt、Ddt,與中央室之間有 k₁₃ 和 k₃₁ 雙向交換
此圖正確描述三室模型的結構,與本題三指數方程式相符。
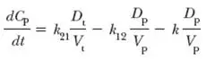
圖片②(微分方程式):顯示:
...(解析預覽)...
![藥師[1] - 進階藥動學 - AI 圖文解析預覽](/_next/image?url=https%3A%2F%2Fbgvxfcrmbdvefjhuvrmt.supabase.co%2Fstorage%2Fv1%2Fobject%2Fpublic%2Fvisual-explanations%2F1014%2F67008_t2v043i1i.webp&w=3840&q=75)
升級 VIP 解鎖圖文解析