108年:護理精社護理(2)
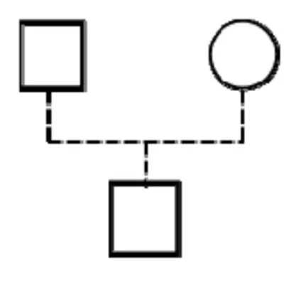
王先生與張女士同居三年,他們領養一個三歲小男孩,請問下列那一個家系圖符合前述狀況?
A圖片1


B圖片2


C圖片3


D圖片4


詳細解析
本題觀念:家系圖 (Genogram) 圖示判讀
考題要點在於「伴侶關係的型態」與「子女來源的型態」兩個符號的辨識。
- 伴侶關係
• 實線水平線:已婚
• 虛線水平線:同居、未婚伴侶
• 兩條斜線:分居/離婚 (依實線或虛線決定是已婚或未婚後分開) - 子女來源
• 實線垂直線:血緣子女
• 虛線垂直線或括號:收養子女(被領養進入此家庭)
題目敘述:「王先生與張女士同居三年,領養一個三歲小男孩」
→ 關鍵條件
① 王、張為未婚同居 → 需用虛線水平線相連
② 小男孩為領養子 → 原則上應以虛線垂直線 (或括號) 連接
選項分析
A. 實線水平線 (已婚) + 實線垂直線 → 代表已婚且有血緣子女,不符同居與領養情境。
B. 虛線水平線(同居)+ 虛線垂直線(領養子女) → 完全滿足題意:王、張未婚同居(虛線水平線),且小男孩為領養(虛線垂直線),無離異符號。為正確答案。
C. 實線水平線加兩斜線 (離婚) → 代表已婚後離婚,不符。
D. 虛線水平線加一斜線 (未婚伴侶分手) → 代表同居後分開,不符「同居中」。
答案解析
依家系圖標準符號,「未婚同居」必須以虛線水平線、「領養子女」必須以虛線垂直線(或括號)表達;選項 B 同時
...(解析預覽)...

升級 VIP 解鎖圖文解析