113年:藥學一(第2次)
下列利尿劑,何者作用於圖中方框部位? 
A

B

C

D

詳細解析
本題觀念:
本題考查利尿劑的作用機轉及其在腎元(Nephron)中的作用部位。考生需具備以下能力:
- 解剖位置辨識:從腎元示意圖中辨識出方框標示的構造為近曲小管(Proximal Convoluted Tubule, PCT)。
- 藥物化學結構辨識:從選項的化學結構式中辨認出對應的藥物名稱。
- 藥理機轉連結:將辨認出的藥物與其主要作用部位進行配對。
影像分析:
-
題幹示意圖:
- 圖中顯示一個完整的腎元構造。
- 標示 G 為腎絲球(Glomerulus),BC 為鮑氏囊(Bowman's Capsule)。
- 方框圈選的部位緊接在鮑氏囊之後,且位於皮質區(Cortex),形態捲曲,此為近曲小管(Proximal Convoluted Tubule, PCT)。
- 後續構造依序為直部近端小管(PST)、亨利氏環(Loop of Henle, 含 DLH, TALH)、遠曲小管(DCT)及集尿管(CD)。
- 結論:題目詢問的是作用於**近曲小管(PCT)**的利尿劑。
-
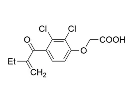
選項化學結構:
- (A) 結構具有 Anthranilic acid 骨架、Sulfonam
...(解析預覽)...
![藥師[1] - 降血脂與利尿劑藥物化學 - AI 圖文解析預覽](/_next/image?url=https%3A%2F%2Fbgvxfcrmbdvefjhuvrmt.supabase.co%2Fstorage%2Fv1%2Fobject%2Fpublic%2Fvisual-explanations%2F369%2F24174_t04e62f6d.webp&w=3840&q=75)
升級 VIP 解鎖圖文解析