113年:藥學一(第2次)
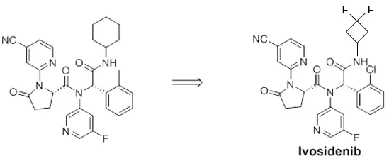
Ivosidenib結構是由下圖左方化合物修飾而得,其修飾的目的為何? 
A降低氧化代謝
B降低抗藥性
C降低毒性
D增加溶解度
詳細解析
本題觀念:
藥物設計與先導化合物優化 (Lead Optimization)、結構活性關係 (SAR)、代謝穩定性 (Metabolic Stability)、生物等排 (Bioisosterism)。
影像分析:
-
左圖 (先導化合物):
- 結構特徵:這是一個類似 AGI-5198 的先導化合物結構。
- 關鍵部位:上方有一個 環己基 (Cyclohexyl group) 連接在醯胺鍵的氮原子上。
- 代謝弱點:環己基 (Cyclohexyl) 是脂溶性基團,常常是體內代謝酵素 (如 CYP450) 的攻擊目標,容易發生氧化反應 (Hydroxylation),導致藥物代謝清除率過高,半衰期過短。
-
右圖 (Ivosidenib, AG-120):
- 結構特徵:這是已經上市的藥物 Ivosidenib。
- 修飾部位:原先的環己基被替換成了 1,1-二氟環丁基 (1,1-difluorocyclobutyl group)。
- 其他修飾:苯環上的鄰位甲基 (o-Me) 也被替換成了氯原子 (Cl),這也是為了阻斷苯環上的氧化代謝位點。
選項分析
- (A) 降低氧化代謝 (正確答案):
- 理由:在
...(解析預覽)...
![藥師[1] - 抗癌藥物化學 - AI 圖文解析預覽](/_next/image?url=https%3A%2F%2Fbgvxfcrmbdvefjhuvrmt.supabase.co%2Fstorage%2Fv1%2Fobject%2Fpublic%2Fvisual-explanations%2F369%2F24185_t9f555ef9.webp&w=3840&q=75)
升級 VIP 解鎖圖文解析