112年:藥學一(第1次)
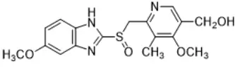
下列何者為 omeprazole (結構如下圖)的最主要代謝物? 
A

B

C

D

詳細解析
本題觀念:
本題考查 Omeprazole (質子幫浦抑制劑, PPI) 的藥物代謝途徑及其主要代謝產物的化學結構。 Omeprazole 為一種前驅藥 (Prodrug),在體內主要經由肝臟細胞色素 P450 (CYP450) 酵素系統代謝。其代謝途徑主要涉及兩個同功酶:
- CYP2C19:主要途徑,負責進行 羥基化 (Hydroxylation)。
- CYP3A4:次要途徑,負責進行 硫氧化 (Sulfoxidation)。
影像分析:
- 題目圖片 (Omeprazole):
- 結構特徵為 Benzimidazole 環(左側,含 -OCH3)與 Pyridine 環(右側,含兩個 -CH3 與一個 -OCH3)透過 Sulfinyl group (-S(=O)-) 連接。
- 選項 A:
- 觀察硫原子 (S) 的部分,沒有連接氧原子 (-S-)。
- 這是 Omeprazole sulfide (Omeprazole 硫醚),通常為還原代謝產物,非主要排泄形式。
- 選項 B:
- 觀察硫原子 (S) 的部分,可以看到連接了兩個氧原子 (-SO2-)。
- 這是 **Omeprazole sulfo
...(解析預覽)...
![藥師[1] - 生物製藥與藥物設計新發展 - AI 圖文解析預覽](/_next/image?url=https%3A%2F%2Fbgvxfcrmbdvefjhuvrmt.supabase.co%2Fstorage%2Fv1%2Fobject%2Fpublic%2Fvisual-explanations%2F378%2F24923_t8e572c1f.webp&w=3840&q=75)
升級 VIP 解鎖圖文解析