111年:藥學一(第1次)
下列何者為 ifosfamide的結構?
A

B

C

D

詳細解析
本題觀念:
本題主要測試考生對於氮芥子氣類 (Nitrogen mustards) 烷化劑化學結構的辨識能力,特別是區分結構異構物 Cyclophosphamide 與 Ifosfamide。這兩者均為含磷的 oxazaphosphorine 衍生物,其結構差異在於 chloroethyl 基團(氯乙基)的連接位置。
影像分析:
- 圖 A:顯示一個苯環連接丁酸側鏈 (benzenebutanoic acid),且苯環對位上有一個雙(2-氯乙基)胺基團。這是 Chlorambucil 的結構。
- 圖 B:顯示一個苯丙氨酸 (phenylalanine) 的骨架,在苯環對位上連接了雙(2-氯乙基)胺基團。這是 Melphalan 的結構。
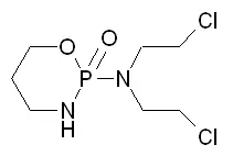
- 圖 C:顯示一個含磷的六元環 (1,3,2-oxazaphosphorinane),其磷原子 (P) 連接的一個環外氮原子上帶有兩個氯乙基側鏈 [-N(CH₂CH₂Cl)₂],而環內的氮原子上則只有一個氫原子。這是 Cyclophosphamide 的結構。
- 圖 D:顯示一個含磷的六元環,其磷原子連接的環外氮原子上帶有一個氯乙基側鏈,而環內的氮原子上也帶有一個氯乙基側鏈。也就是說
...(解析預覽)...
![藥師[1] - 抗癌藥物化學 - AI 圖文解析預覽](/_next/image?url=https%3A%2F%2Fbgvxfcrmbdvefjhuvrmt.supabase.co%2Fstorage%2Fv1%2Fobject%2Fpublic%2Fvisual-explanations%2F384%2F25410_t2034886f.webp&w=3840&q=75)
升級 VIP 解鎖圖文解析